class: center, middle, inverse, title-slide .title[ # EDUC 847 Winter 24 ] .subtitle[ ## Week 5 - Multiple Regression ] .author[ ### Eric Brewe
Professor of Physics at Drexel University
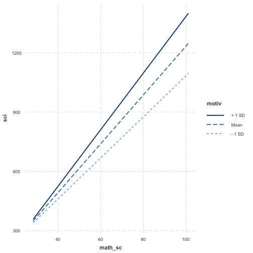
] .date[ ### 5 February 2025, last update: 2025-02-05 ] --- # Let's start with a complete dataset Start by getting the data into R ``` r #This loads the csv and saves it as a dataframe titled week_1_data sci_df <- read_csv(here("data", "science_scores.csv")) ``` --- # Let's remember last week ### We want to predict a science score from a math score. ``` r *sci_mod_math <- lm(sci ~ math_sc, data = sci_df) tidy(summary(sci_mod_math)) ``` ``` ## # A tibble: 2 × 5 ## term estimate std.error statistic p.value ## <chr> <dbl> <dbl> <dbl> <dbl> ## 1 (Intercept) 43.6 164. 0.265 0.791 ## 2 math_sc 11.6 2.47 4.70 0.00000343 ``` Note - we have a new dataset, nothing is missing! --- # Let's use motivation in a model ``` r sci_mod_motiv <- lm(sci ~ motiv, data = sci_df) tidy(sci_mod_motiv) ``` ``` ## # A tibble: 2 × 5 ## term estimate std.error statistic p.value ## <chr> <dbl> <dbl> <dbl> <dbl> ## 1 (Intercept) 405. 179. 2.26 0.0242 ## 2 motiv 5.46 2.42 2.25 0.0247 ``` --- # Let's reflect ``` r tidy(sci_mod_math) ``` ``` ## # A tibble: 2 × 5 ## term estimate std.error statistic p.value ## <chr> <dbl> <dbl> <dbl> <dbl> ## 1 (Intercept) 43.6 164. 0.265 0.791 ## 2 math_sc 11.6 2.47 4.70 0.00000343 ``` ``` r tidy(sci_mod_motiv) ``` ``` ## # A tibble: 2 × 5 ## term estimate std.error statistic p.value ## <chr> <dbl> <dbl> <dbl> <dbl> ## 1 (Intercept) 405. 179. 2.26 0.0242 ## 2 motiv 5.46 2.42 2.25 0.0247 ``` --- # Let's reflect We have two models that predict science score. Which is right? Which is better? --- # Let's try something new What if we put them both in the model? ``` r sci_mod_motiv_math <- lm(sci ~ math_sc + motiv, data = sci_df) tidy(sci_mod_motiv_math) ``` ``` ## # A tibble: 3 × 5 ## term estimate std.error statistic p.value ## <chr> <dbl> <dbl> <dbl> <dbl> ## 1 (Intercept) -473. 249. -1.90 0.0581 ## 2 math_sc 12.2 2.47 4.96 0.000000981 ## 3 motiv 6.53 2.38 2.75 0.00624 ``` --- # Let's interpret ``` ## ## Call: ## lm(formula = sci ~ math_sc + motiv, data = sci_df) ## ## Residuals: ## Min 1Q Median 3Q Max ## -855.8 -385.2 -183.7 139.6 4380.2 ## ## Coefficients: ## Estimate Std. Error t value Pr(>|t|) ## (Intercept) -473.410 249.288 -1.899 0.05814 . ## math_sc 12.239 2.469 4.957 9.81e-07 *** ## motiv 6.532 2.378 2.747 0.00624 ** ## --- ## Signif. codes: 0 '***' 0.001 '**' 0.01 '*' 0.05 '.' 0.1 ' ' 1 ## ## Residual standard error: 648.8 on 497 degrees of freedom ## Multiple R-squared: 0.05673, Adjusted R-squared: 0.05293 ## F-statistic: 14.95 on 2 and 497 DF, p-value: 4.978e-07 ``` --- # Let's interpret graphically ``` r avPlots(sci_mod_motiv_math) ``` <!-- --> --- # Let's look at these coefficients ``` r plot_summs(sci_mod_motiv_math) ``` <!-- --> --- # Let's look at these coefficients ``` r plot_summs(sci_mod_motiv_math, inner_ci_level = 0.9) ``` <!-- --> --- # Let's review the goodness of fit ``` r glance(sci_mod_motiv_math) ``` ``` ## # A tibble: 1 × 12 ## r.squared adj.r.squared sigma statistic p.value df logLik AIC BIC ## <dbl> <dbl> <dbl> <dbl> <dbl> <dbl> <dbl> <dbl> <dbl> ## 1 0.0567 0.0529 649. 14.9 0.000000498 2 -3946. 7899. 7916. ## # ℹ 3 more variables: deviance <dbl>, df.residual <int>, nobs <int> ``` This give us some numbers, but we need to know what these mean. --- # Let's decide, is it a better model? We have a few options... - Look at the `\(R^{2}\)` - Look at the adjusted `\(R^{2}\)` - adj `\(R^{2} = 1 - \frac{SS_{res}}{SS_{tot}}*\frac{N-1}{N-K-1}\)` - Akaike information criteria - `\(AIC = \frac{SS_{res}}{\sigma} + 2K\)` - ==Lower is better!== - to access AIC can use the step function in the emdi package --- # Let's look at AIC To do this, we start with the full model and remove variables and recalculate the AIC. This is called backward selection. ``` r step(sci_mod_motiv_math, direction = "backward") ``` --- # Let's look at AIC ``` ## Start: AIC=6478.14 ## sci ~ math_sc + motiv ## ## Df Sum of Sq RSS AIC ## <none> 209217142 6478.1 ## - motiv 1 3175469 212392611 6483.7 ## - math_sc 1 10345702 219562843 6500.3 ``` ``` ## ## Call: ## lm(formula = sci ~ math_sc + motiv, data = sci_df) ## ## Coefficients: ## (Intercept) math_sc motiv ## -473.410 12.239 6.532 ``` --- # Let's compare models graphically ``` r plot_summs(sci_mod_motiv, sci_mod_motiv_math, inner_ci_level = 0.9) ``` <!-- --> --- # Let's compare statistically We saw that the AIC went down, but more complicated models are typically worse (prone to overfitting, harder to interpret, etc...) Is there a way to compare the models statistically so we can decide if it is worth it to use the more complicated model. We will compare with an ANOVA We will compare the model with the motivation score as compared to the model with just the math score. ``` r anova(sci_mod_math, sci_mod_motiv_math) ``` ``` ## Analysis of Variance Table ## ## Model 1: sci ~ math_sc ## Model 2: sci ~ math_sc + motiv ## Res.Df RSS Df Sum of Sq F Pr(>F) ## 1 498 212392611 ## 2 497 209217142 1 3175469 7.5434 0.006242 ** ## --- ## Signif. codes: 0 '***' 0.001 '**' 0.01 '*' 0.05 '.' 0.1 ' ' 1 ``` --- # Let's try more variables What about the group variable? Maybe some groups differ on math, motivation, and science score... ``` r sci_mod_motiv_math_gr <- lm(sci~ math_sc + motiv + gr , data = sci_df) tidy(sci_mod_motiv_math_gr) ``` ``` ## # A tibble: 4 × 5 ## term estimate std.error statistic p.value ## <chr> <dbl> <dbl> <dbl> <dbl> ## 1 (Intercept) -580. 257. -2.25 0.0247 ## 2 math_sc 12.4 2.47 5.02 0.000000731 ## 3 motiv 6.50 2.37 2.74 0.00639 ## 4 gr 33.3 20.6 1.62 0.106 ``` --- # Let's try more variables What about the group variable? Maybe some groups differ on math, motivation, and science score... ``` r plot_summs(sci_mod_motiv, sci_mod_motiv_math, sci_mod_motiv_math_gr, inner_ci_level = 0.9) ``` <!-- --> --- # Let's dummy code So, the main idea here is that we can see that group might matter...but we don't know which group. So let's set up separate variables for each group. ``` r sci_df %>% mutate(Gr1 = case_when(gr == 1 ~ 1, gr != 1 ~0)) %>% head(., 20) ``` ``` ## # A tibble: 20 × 7 ## id gr motiv pre_sc math_sc sci Gr1 ## <dbl> <dbl> <dbl> <dbl> <dbl> <dbl> <dbl> ## 1 23926 4 80.9 1.21 50.0 598. 0 ## 2 31464 1 62.6 1.25 56.9 612. 1 ## 3 42404 2 85.5 0.405 66.2 409. 0 ## 4 19892 5 102. 2.66 55.2 1185. 0 ## 5 76184 3 97.1 2.24 67.6 1194. 0 ## 6 58204 5 70.0 0.158 62.0 267. 0 ## 7 38741 2 53.2 0.168 77.6 234. 0 ## 8 72934 1 84.3 0.130 72.4 307. 1 ## 9 11248 1 75.6 0.415 74.7 406. 1 ## 10 80068 1 52.9 5.50 73.7 2583. 1 ## 11 17435 2 62.0 0.615 69.2 440. 0 ## 12 72685 4 49.8 0.639 67.7 401. 0 ## 13 91175 2 69.1 0.225 65.0 286. 0 ## 14 30104 2 52.7 1.74 57.8 758. 0 ## 15 20732 1 93.1 1.05 54.5 615. 1 ## 16 55484 4 79.6 3.73 69.3 1786. 0 ## 17 17753 5 62.1 0.715 54.5 415. 0 ## 18 99371 3 48.7 1.55 48.7 587. 0 ## 19 87933 4 74.8 0.122 85.6 281. 0 ## 20 96189 4 82.7 0.346 66.6 381. 0 ``` --- # Let's dummy code Now extend out to all groups and assign to new dataframe ``` r sci_df %>% mutate(Gr1 = case_when(gr == 1 ~ 1, gr != 1 ~0)) %>% mutate(Gr2 = case_when(gr == 2 ~ 1, gr != 2 ~0)) %>% mutate(Gr3 = case_when(gr == 3 ~ 1, gr != 3 ~0)) %>% mutate(Gr4 = case_when(gr == 4 ~ 1, gr != 4 ~0)) %>% mutate(Gr5 = case_when(gr == 5 ~ 1, gr != 5 ~0)) -> sci_df_groups ``` --- # Let's include the groups in a model Need to use the new dataframe and add all the different groups ``` r sci_mod_motiv_math_groups <- lm(sci~ math_sc + motiv + Gr1 + Gr2 + Gr3 + Gr4 + Gr5 , data = sci_df_groups) ``` --- # Let's include the groups in a model ``` r summary(sci_mod_motiv_math_groups) ``` ``` ## ## Call: ## lm(formula = sci ~ math_sc + motiv + Gr1 + Gr2 + Gr3 + Gr4 + ## Gr5, data = sci_df_groups) ## ## Residuals: ## Min 1Q Median 3Q Max ## -912.0 -367.6 -171.8 143.9 4272.2 ## ## Coefficients: (1 not defined because of singularities) ## Estimate Std. Error t value Pr(>|t|) ## (Intercept) -483.123 258.234 -1.871 0.06195 . ## math_sc 12.325 2.470 4.989 8.42e-07 *** ## motiv 6.649 2.374 2.800 0.00531 ** ## Gr1 -124.619 92.486 -1.347 0.17846 ## Gr2 -37.089 92.746 -0.400 0.68940 ## Gr3 101.630 93.212 1.090 0.27611 ## Gr4 38.948 91.611 0.425 0.67092 ## Gr5 NA NA NA NA ## --- ## Signif. codes: 0 '***' 0.001 '**' 0.01 '*' 0.05 '.' 0.1 ' ' 1 ## ## Residual standard error: 647 on 493 degrees of freedom ## Multiple R-squared: 0.06966, Adjusted R-squared: 0.05834 ## F-statistic: 6.152 on 6 and 493 DF, p-value: 3.096e-06 ``` --- # Let's explore interactions What if a student's motivation is somehow connected to their math score? We should look for interactions... ``` r sci_mod_motiv_math_interactions <- lm(sci~ math_sc*motiv , data = sci_df) summary(sci_mod_motiv_math_interactions) ``` ``` ## ## Call: ## lm(formula = sci ~ math_sc * motiv, data = sci_df) ## ## Residuals: ## Min 1Q Median 3Q Max ## -889.1 -382.3 -174.8 127.0 4361.5 ## ## Coefficients: ## Estimate Std. Error t value Pr(>|t|) ## (Intercept) 277.5601 930.8814 0.298 0.766 ## math_sc 0.6281 14.0845 0.045 0.964 ## motiv -3.8214 12.5920 -0.303 0.762 ## math_sc:motiv 0.1605 0.1917 0.837 0.403 ## ## Residual standard error: 649 on 496 degrees of freedom ## Multiple R-squared: 0.05806, Adjusted R-squared: 0.05236 ## F-statistic: 10.19 on 3 and 496 DF, p-value: 1.597e-06 ``` --- # Let's plot this... There are two ways, first, we can plot out the coefficients like we have done before... ``` r plot_summs(sci_mod_motiv_math_interactions, inner_ci_level = 0.9) ``` <!-- --> --- # Let's plot this... There are two ways, or we can use the interact_plot ``` r interact_plot(model = sci_mod_motiv_math_interactions, pred = math_sc, modx = motiv) ``` <!-- --> --- # Let's review... We spent today looking at how to do multiple regression We can... - run a multiple regression - interpret a multiple regression - consider categorical variables - dummy code for categorical variables - visualize regression coefficients - handle interaction terms